• Предмет: Алгебра
  • Автор: vladagabelko147
  • Вопрос задан 7 лет назад

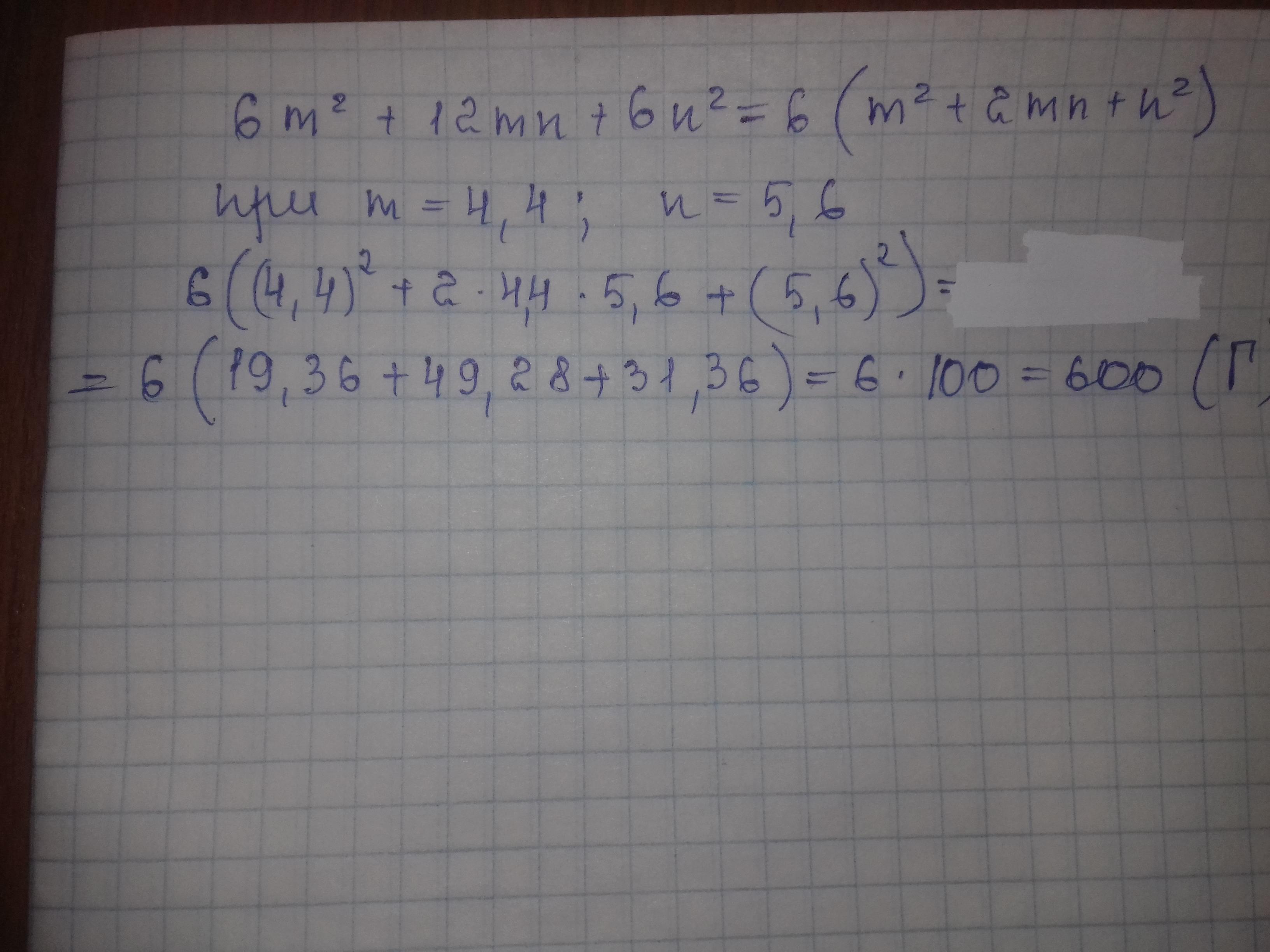
5. (2 б) Спростіть вираз 6m²+12mn+6n² та обчисліть його значення при m=4,4 і n=5,6
А) 12;
Б) 60;
В) 100;
Г) 600.​

Ответы

Ответ дал: sadykovanatalya2004
1

Ответ:

Г

Объяснение:

Смотри фото ниже.

Приложения:
Вас заинтересует