• Предмет: Алгебра
  • Автор: Аноним
  • Вопрос задан 7 лет назад

Помогите пожалуйста решить задачу а и б ​

Приложения:

Ответы

Ответ дал: yugolovin
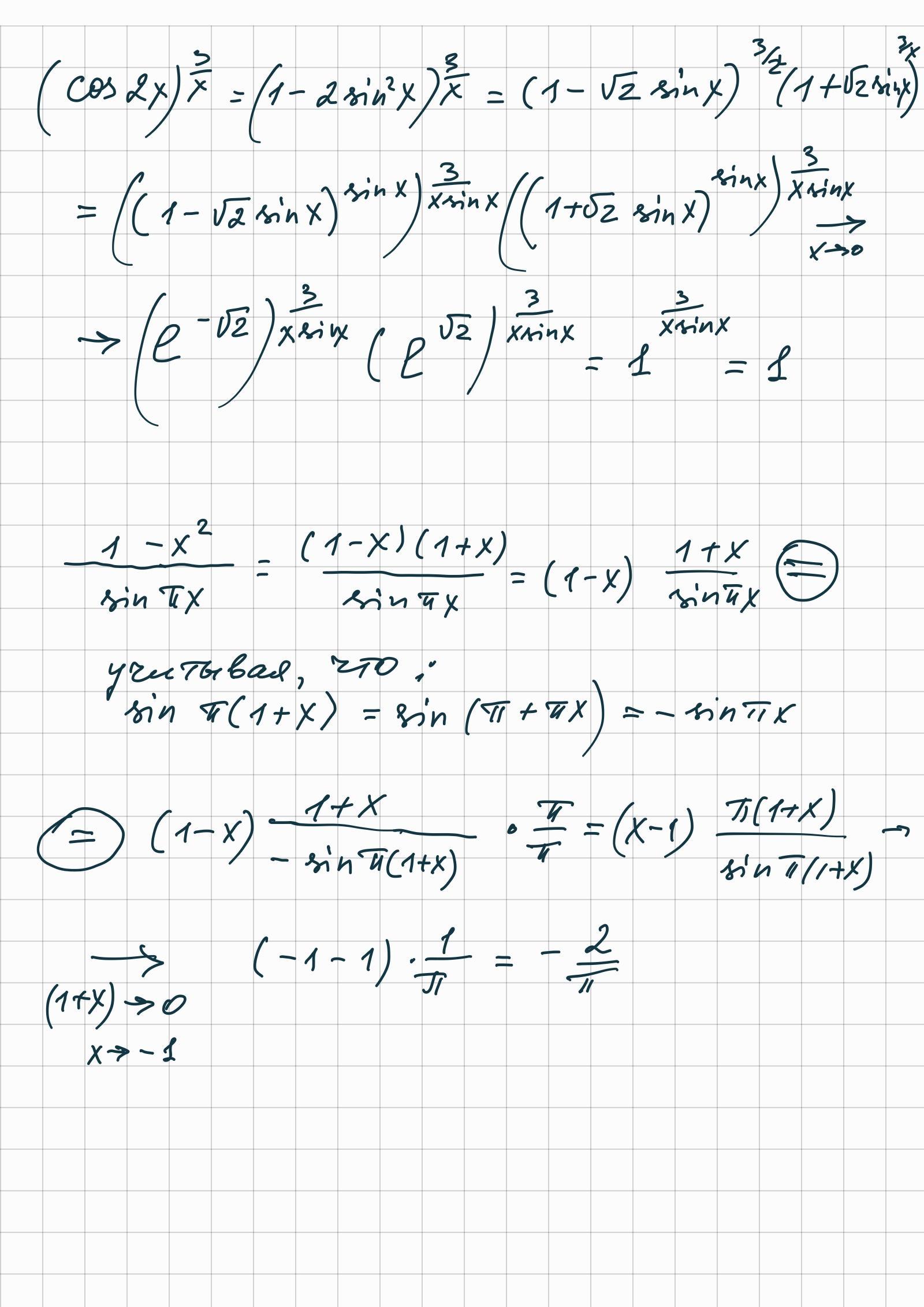
0

\lim\limits_{x\to -1}\dfrac{1-x^2}{\sin\pi x}=\left[\dfrac{0}{0}\right]=\lim\limits_{x\to -1}\dfrac{(1-x^2)'}{(\sin \pi x)'}=\lim\limits_{x\to -1}\dfrac{-2x}{\pi\cos \pi x} = \dfrac{2}{-\pi}=-\dfrac{2}{\pi}

\lim\limits_{x\to 0}  (\cos 2x)^{3/x}=\lim\limits_{x\to 0} e^{\ln(\cos 2x)^{3/x}}= \lim\limits_{x\to 0} e^{\frac{3}{x}\ln(\cos 2x)}=e^{\lim\limits_{x\to 0} 3\frac{\ln(\cos 2x)}{x}}=\left[\dfrac{0}{0}\right]=

e^{3\lim\limits_{x\to 0}\frac{(\ln(\cos 2x))'}{x'}}=e^{3\lim\limits_{x\to 0}\frac{-2\sin 2x}{\cos 2x}}=e^0=1


Аноним: не пользуясь правилом Лопиталя
Ответ дал: olgaua64
2

Відповідь:

Пояснення:

Приложения:
Вас заинтересует