• Предмет: Алгебра
  • Автор: Ernursuper228822
  • Вопрос задан 7 лет назад

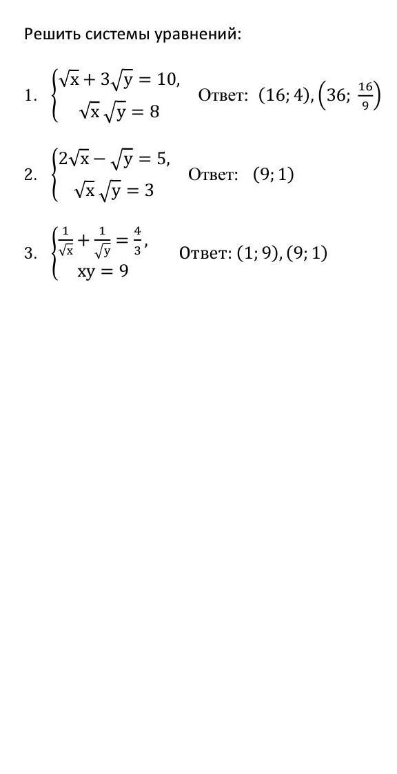
2 и 3 пожалуйста буду благодарен)​

Приложения:

Ответы

Ответ дал: bb573878
0

Ответ:

Объяснение:

2)

\displaystyle\\\left \{ {{2\sqrt{x} -\sqrt{y}=5 } \atop {\sqrt{x} \sqrt{y}=3 }} \right. \\\\x\geq 0;y\geq 0\\\\\left \{ {{\sqrt{y}=2\sqrt{x} -5 } \atop {\sqrt{x} (2\sqrt{x} -5)=3}} \right.

решим второе уравнение

2(\sqrt{x} )^2-5\sqrt{x} -3=0\\\\D=5^2-4*2*3=49=7^2\\\sqrt{x} =(5-7)/4<0;~~~ne~udovl.\\\sqrt{x} =(5+7)/4=3;~x=9;~y=2\cdot3-5=1\\\\Otvet:(9;1)

3)

\displaystyle\\\left \{ {{\dfrac{1}{\sqrt{x} } +\dfrac{1}{\sqrt{y} }=\dfrac{4}{3} } \atop {xy=9}} \right. \\\\x>0;y>0\\\\\left \{ {{3\sqrt{y} +3\sqrt{x}=4\sqrt{x} \sqrt{y}  } \atop {y=\dfrac{9}{x} }} \right. \\\\\\3\sqrt{\frac{9}{x} } +3\sqrt{x} =4\sqrt{x} *\sqrt{\frac{9}{x} } \\\\\frac{9}{\sqrt{x} } +3\sqrt{x} =12\\\\9+3(\sqrt{x} )^2=12\sqrt{x} \\\\(\sqrt{x} )^2-4\sqrt{x} +3=0\\\\po~Vieta\\\\1)\sqrt{x} =1;x=1;y=9\\\\2)\sqrt{x} =3;x=9;y=1\\\\Otvet:(1;9)~(9;1)

Вас заинтересует