• Предмет: Алгебра
  • Автор: blablaket
  • Вопрос задан 11 лет назад

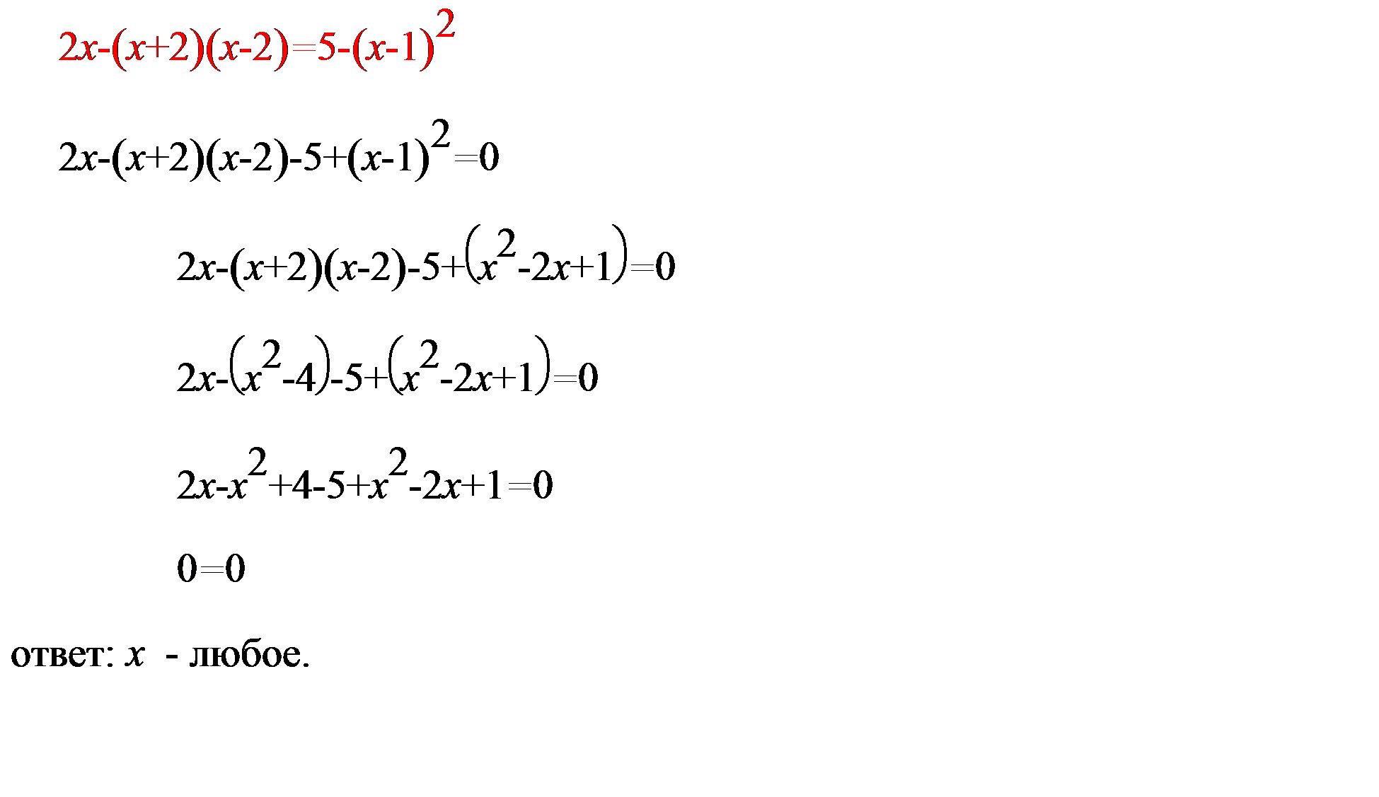
решите уравнение 2x-(x+2)(x-2)=5-(x-1)в квадрате ..пожалуйста помогите

Ответы

Ответ дал: triolana
0

файл

============================

Приложения:
Вас заинтересует