• Предмет: Математика
  • Автор: litaiconyofficial
  • Вопрос задан 7 лет назад

решите уравнения помогите, пЛиз<3 они на фото:<​

Приложения:

Ответы

Ответ дал: hoangkhanhchi182007
1

Ответ:

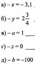
а)-х=-3,1

х=3.1

б)-у=2 3/4

у= -2 3/4

в)-а=1

а= -1

г)-z=0

z=0

д)-b= -100

b= 100


litaiconyofficial: спасибо
hoangkhanhchi182007: всегда пожалуйста)
litaiconyofficial: ^^
Ответ дал: iramazurk
1

А)
-х = -3,1
х = 3,1


Б)
-у = 2. 3/4
у = -2. 3/4

В)
-а = 1
а = -1

Г)
-z = 0
z = 0

Д)
-b = -100
b = 100

Вас заинтересует