САМОМУ БЫСТРОМУ ДАМ 20 БАЛОВ
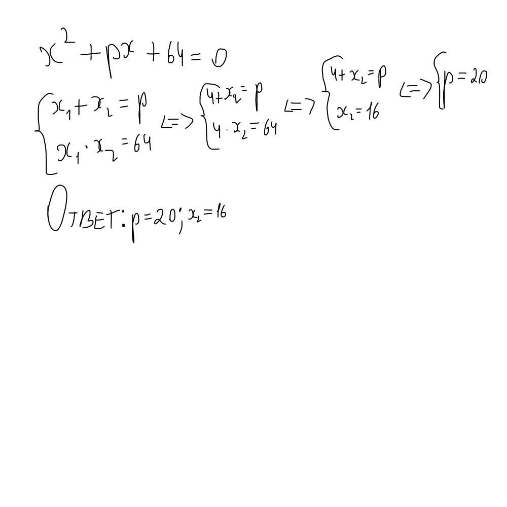
В уравнении : икс во второй степени + px + 64 =0. Один из корней х1=4. Найди значение р и другой корень уравнения.
х2 = ?
р= ?
Ответы
Ответ дал:
0
Ответ: я решила на фотографии
Объяснение:
Приложения:

Вас заинтересует
2 года назад
2 года назад
2 года назад
2 года назад
8 лет назад
8 лет назад
9 лет назад
9 лет назад