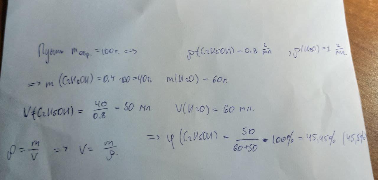
5.27. Массовая доля метанола в водном растворе ранна 40 %. Определите объемную долю (в процентах) метанола. Плотность метанола равна 0,8 г/мл, воды г/мл. Изменением объемов при смешивании пренебречь.
pchelkin5:
Ответ есть?
Ответы
Ответ дал:
0
Ответ:
Объяснение:
Держи,внизу.
Приложения:

Вас заинтересует
2 года назад
2 года назад
2 года назад
2 года назад
8 лет назад
9 лет назад