• Предмет: Математика
  • Автор: hagakureasuhiro18
  • Вопрос задан 7 лет назад

помогите пожалуйста

Приложения:

Ответы

Ответ дал: qwerfdsaty5
1

Ответ:

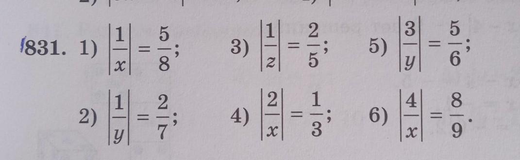
1. x = 1,6, x = -1,6

2.y = 3,5, y = -3,5

3.z = 2,5, z = -2,5

4.x = 6, x = -6

5.y = 3,6, y = -3,6

6.x = 4,5, x = - 4,5


hagakureasuhiro18: спасибо!
Вас заинтересует