Срочно нужна помощь!
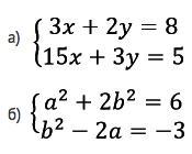
Решите системы уравнений методом домножения и сложения:
Приложения:

teratons030:
Спасибо большое, за старания, но как я запишу это в тетрадь? Вы наверное думаете, что я совсем глупая, но и в правду не понимаю что и как. Поэтому как мне не рассказывай, я всё равно ничего не пойму. Мне нужен полный и правильный ответ, чтобы записать его в тетрадь, сдать на оценку и больше не беспокоится о том, что я могу завалить четверть. Я и так уже получила по физике и химии по двойке, мне достаточно…
Ответы
Ответ дал:
7
решения в файлах..., второе задание слишком сложное для обычных систем уравнений, которые изучают в средней школе, так что всё же советую спросить у учителя нет ли там опечатки
Удачи, солнышко!
Приложения:



Вас заинтересует
2 года назад
2 года назад
8 лет назад
9 лет назад
9 лет назад