Ответы
Ответ дал:
2
Ответ:
Объяснение:
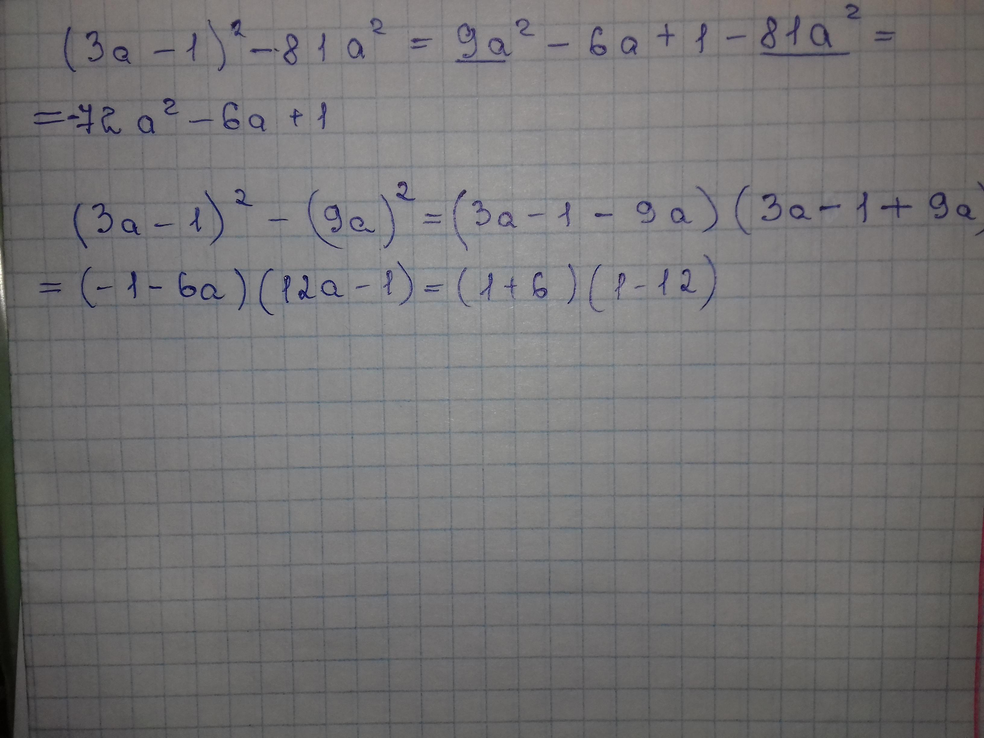
(3а-1)²-81а²=(3а-1)²-(9а)²=(3a-1-9a)(3a-1+9a)=(-1-6a)(12a-1)=(1+6a)(1-12a)
Ответ дал:
2
Ответ:
Смотри фото ниже.
Объяснение:
Приложения:

Вас заинтересует
2 года назад
2 года назад
2 года назад
2 года назад
8 лет назад
9 лет назад