• Предмет: Алгебра
  • Автор: nastya4144
  • Вопрос задан 7 лет назад

помогите !!!!!!!!!!!!!!

Приложения:

Ответы

Ответ дал: bena20193
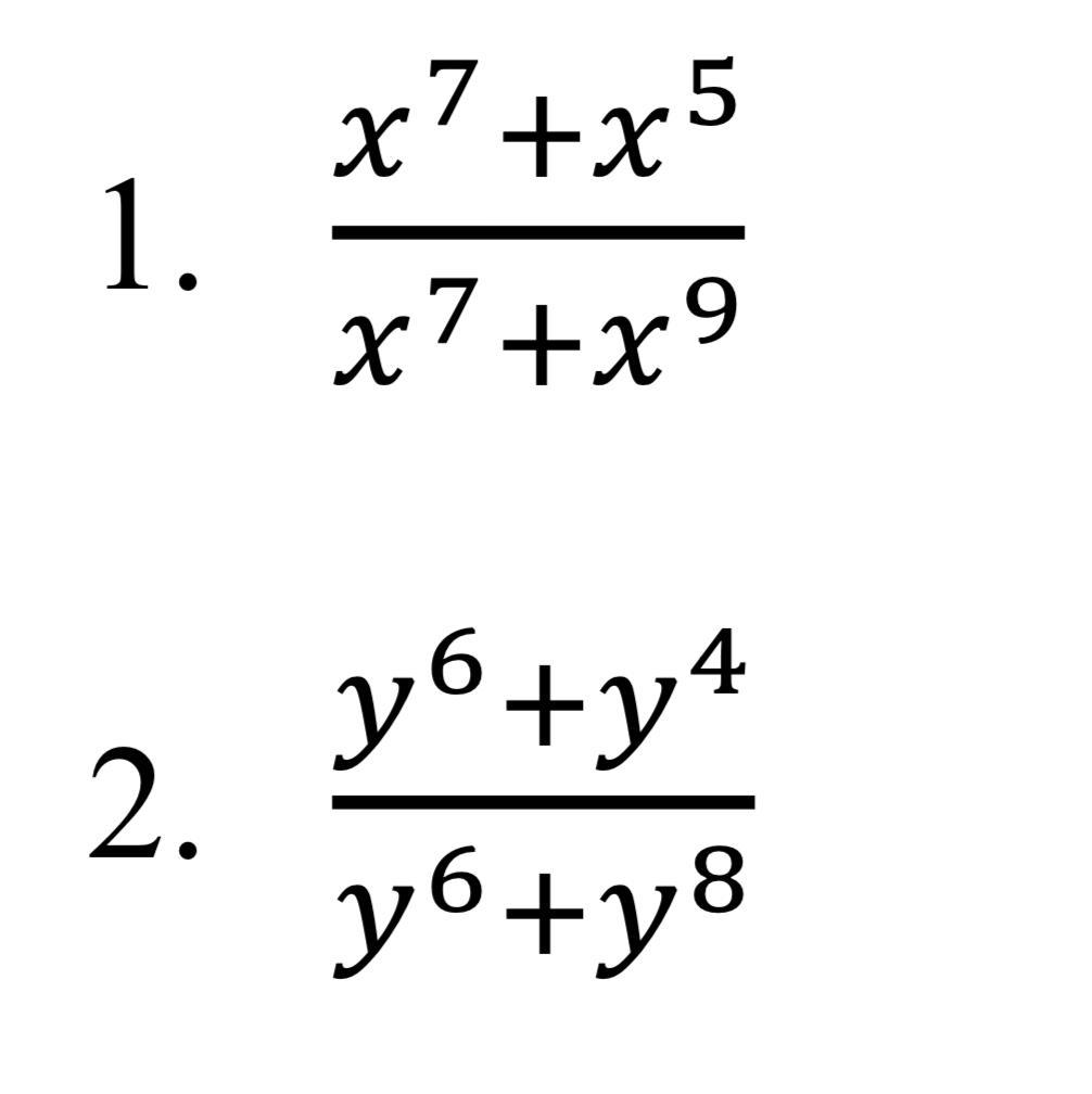
1

Ответ:

Объяснение:

1) x⁵(x²+1)/(x⁵(x²+x⁴)=(x²+1)/(x²+x⁴)

2) y⁴(y²+1)/(y⁴(y²+y⁴))=(y²+1)/(y²+y⁴)


Аноним: я трех клашка каааааааааааааайф
Вас заинтересует