• Предмет: Математика
  • Автор: furryJujik
  • Вопрос задан 7 лет назад

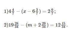
!!!!!!!!!!!!!!!!!СРОЧНО!!!!!!!!!!!!!!!!!!

Приложения:

Ответы

Ответ дал: ybbybybybbyby
1

как то так, надеюсь всё правильно)

Приложения:
Вас заинтересует