• Предмет: Алгебра
  • Автор: dimaddd
  • Вопрос задан 11 лет назад

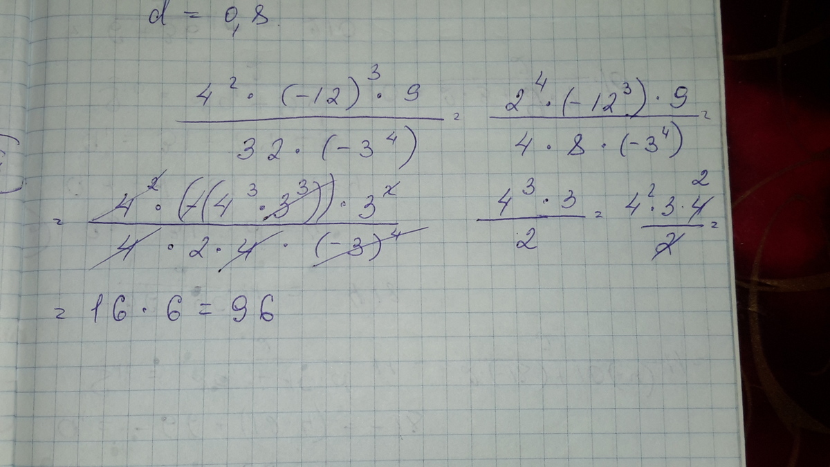
Вычисли наиболее национальным способом

Приложения:

Ответы

Ответ дал: prostomama1
0
"""""""""""""""""""""""""""""""""""""""""""""""
Приложения:
Ответ дал: dimaddd
0
спасибо большое благодарю
Ответ дал: prostomama1
0
Незачто
Вас заинтересует