• Предмет: Алгебра
  • Автор: kalininamaria99
  • Вопрос задан 7 лет назад

помогите срочно надо

Приложения:

Ответы

Ответ дал: nuarledi8
1

Ответ:

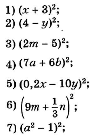
1 (х+3)²= (х+3)×(х+3)=х²+9

2 (4-у)²=(4+у)×(4-у)=16-у²

3 (2м-5)²=(2м+5)×(2м-5)=4м²-25

4 (7а+6б)²=(7а+6б)×(7а+6б)=49а²+36б²

5 (0,2х-10у)²=(0,2х+10у)×(0,2х-10у)=0,04-100у²

6 (9м+⅓н)²=(9м+⅓н)×(9м+⅓)=81м²+1/9н²

7 (а²-1)²=(а+1)×(а+1)=а²+1

Вас заинтересует