• Предмет: Алгебра
  • Автор: mikhailzaymutdinow
  • Вопрос задан 7 лет назад

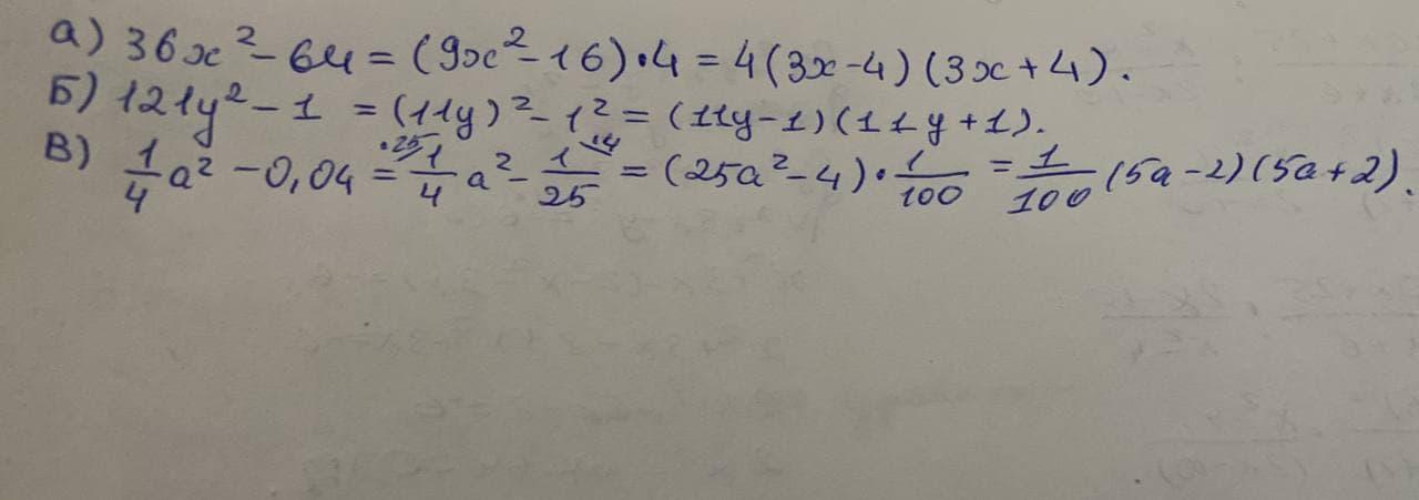
Помогите плиз, задание на фото ​

Приложения:

Ответы

Ответ дал: yevheniiavz
1

смотрите фото.................

Приложения:

mikhailzaymutdinow: Спасибо!
yevheniiavz: :)
Вас заинтересует