• Предмет: Физика
  • Автор: sweetkitty
  • Вопрос задан 11 лет назад

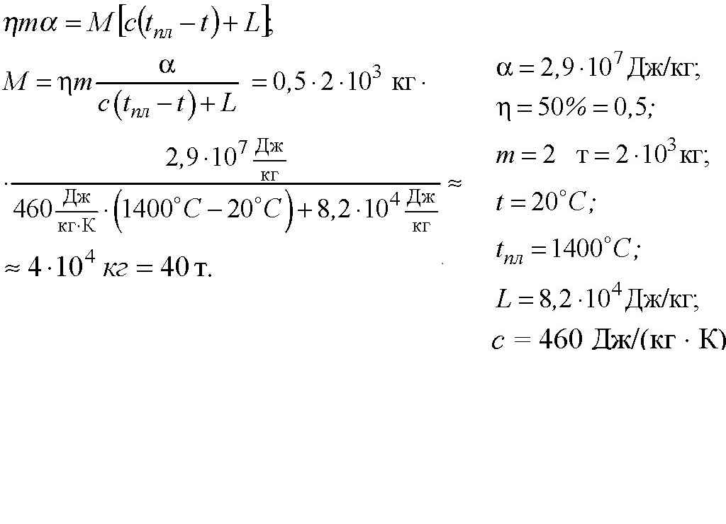
сколько стали, взятой при 20 градусах цельсия, можно расплавить в печи с КПД 50%, сжигая 2 т каменного угля?

 

нужно полное решение, с выводом формул

Ответы

Ответ дал: Рензи
0

решение на картинке  кликниш 

Приложения:
Вас заинтересует