• Предмет: Геометрия
  • Автор: Prokos1110
  • Вопрос задан 7 лет назад

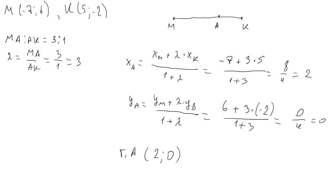
Точка А ділить відрізок МК у відношенні 3 : 1. Знайти
координати точки А, якщо М (–7; 6), К (5; –2)

Ответы

Ответ дал: Warlock1
0

Ответ:

(2;0)

Объяснение:

Приложения:
Вас заинтересует