Ответы
Ответ дал:
0
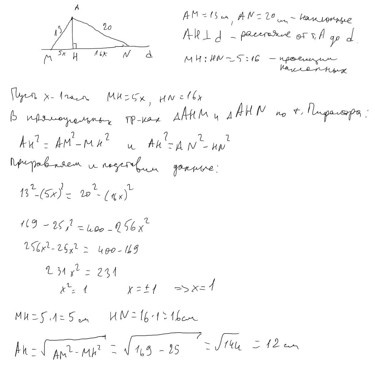
Ответ:
12 см
Объяснение:
Приложения:

Вас заинтересует
2 года назад
2 года назад
2 года назад
2 года назад
9 лет назад