• Предмет: Алгебра
  • Автор: rozkovam920
  • Вопрос задан 7 лет назад

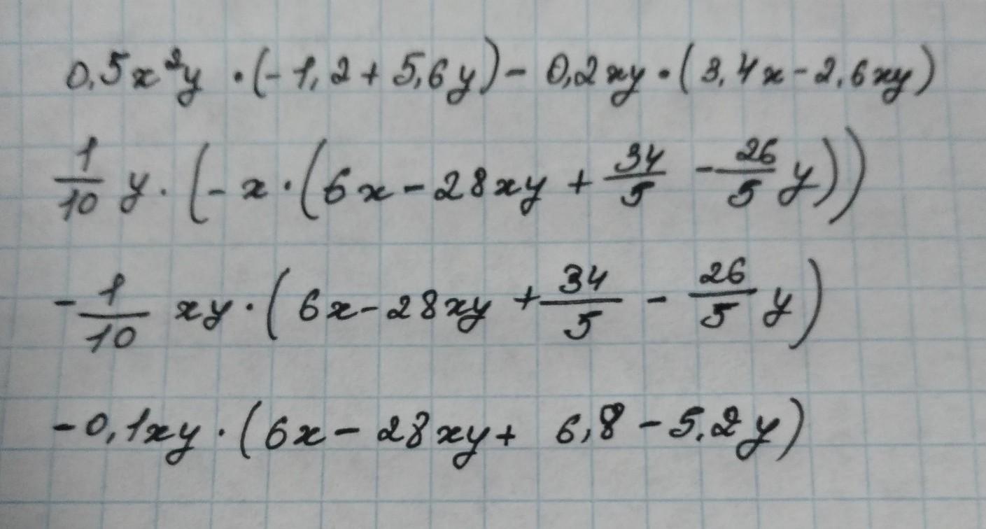
помогите пожалуйста ​

Приложения:

Ответы

Ответ дал: pinkbrein5
0

Ответ:

Все у фото как и что делать

Приложения:
Вас заинтересует