• Предмет: Алгебра
  • Автор: SanyaNovikov225
  • Вопрос задан 7 лет назад

Помогите пожалуста сделать 1 вариат

Приложения:

Ответы

Ответ дал: pinkbrein5
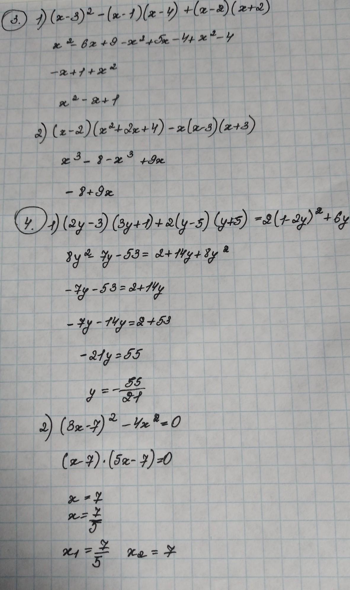
1

Что и как делать все есть у фото)

Приложения:
Вас заинтересует