ПОМОГИТЕ, СРОЧНО!!!
Замените звёздочки такими одночленами, чтобы обра- зовалось тождество:
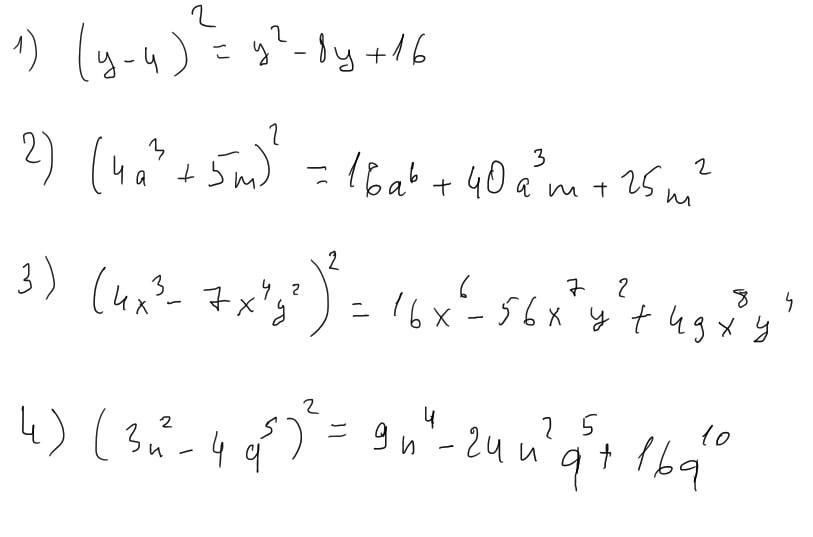
1) (* - 4)² = y² - * + 16;
2) (4a³ + *)² = * + * + 25m²;
3) (* - *)² = 16x6 - * + 49y⁴x8;
4) (3n²- *)² = * - 24n²q^5 + *
Warlock1:
в 4) непонятно, что это значит? 3n²7
Ответы
Ответ дал:
2
Ответ:
ну так
Объяснение:
Приложения:

Вас заинтересует
2 года назад
8 лет назад
8 лет назад