Дам 50 баллов! Заранее спасибо)
Приложения:

kikop55rip:
извините это брат нажал малинький
Ответы
Ответ дал:
2
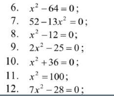
х²-64=0; х²=64; х=±8
52-13х²=0; 13х²=52; х²=4; х=±2
х²-12=0; х²=12; х=±√12=±2√3
2х²-25=0; 2х²=25; х²=12,5; х=±√12,5
х²+36=0; х²=-36; решений нет
х²=100; х=±10
7х²-28=0; 7х²=28; х²=4; х=±2
Ответ дал:
0
6. х²-64=0; (х-8)*(x+8)=0; х=±8;
7. 52-13х²=0; -13(х²-4)=0; (х-2)*(x+2)=0; х=±2;
8. х²-12=0; (х-2√3)*(x+2√3)=0; х=±2√3;
9. 2х²-25=0; 2х²=25; х²=25/2; х=±5/√2=±5√2/2;
10. х²+36=0; корней нет. т.к. сумма неотрицательного числа х² и 36 не может быть равно нулю.
11. х²=100; (х-10)(х+10)=0; х=±10;
12. 7х²-28=0; 7х²=28; х²=4; (х-2)(х+2)=0; х=±2
Вас заинтересует
2 года назад
2 года назад
2 года назад
8 лет назад
9 лет назад