• Предмет: Алгебра
  • Автор: daniilabakymov21
  • Вопрос задан 7 лет назад

Дам 50 баллов! Решите срочно, на профиле ещё задачи) Заранее спасибо)

Приложения:

Ответы

Ответ дал: skala
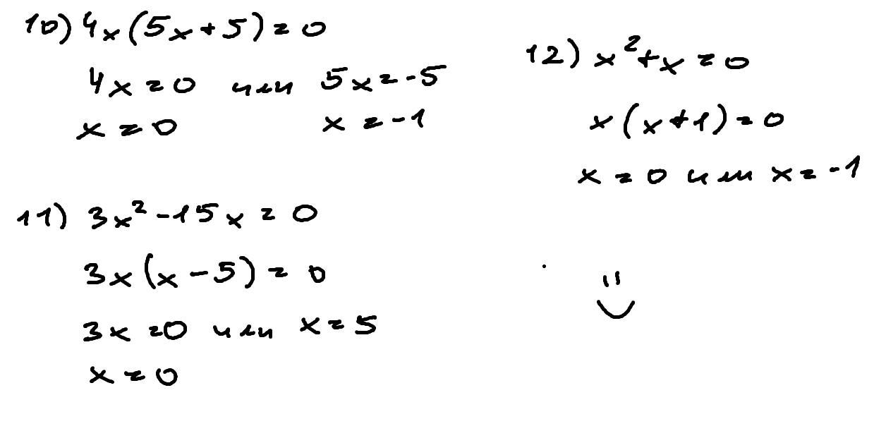
1

Ответ:

Фото

Объяснение:

Приложения:

daniilabakymov21: Спасибо бро) Удачи тебе)
skala: И вам удачи
Ответ дал: c4d4e4
0

Ответ:

Объяснение:

6)х(2х-17)=0 х=0 или х=8,5

7)х(3х+14)=0 х=0 или х=-14/3

8)3x(4-3x)=0 x=0 или х=4/3

9)x^2-x=0; x(x-1)=0 x=0 или х=1

10) х=0 или х=-1

11)3х(х-5)=0; x=0 или х=5

12)х(х+1)=0 х=0 или х=-1

Вас заинтересует