• Предмет: Алгебра
  • Автор: alexsergeenko2008
  • Вопрос задан 7 лет назад

РЕБЯТА ПОМОГИТЕ ПЖ
Задание 1.

Решите уравнения:

Приложения:

kickcapone: В самом начале число 1,2 это тоже относиться к примеру ?
alexsergeenko2008: ДА
alexsergeenko2008: это тоже относится к примеру
kickcapone: Просто решение или нужен график ?
alexsergeenko2008: просто решение
kickcapone: Ща сделаю
alexsergeenko2008: график будет нужен в другом задании
kickcapone: Только поставь потом лучший ответ)
alexsergeenko2008: обязательно)
kickcapone: Пасиба.

Ответы

Ответ дал: nigina96
0
Жагднвжгвлныдныжныжгыдгвндднднднжндн

nigina96: Ой нечаянно отправил
alexsergeenko2008: зачем вы такое печатаете вообще?
Ответ дал: kickcapone
1

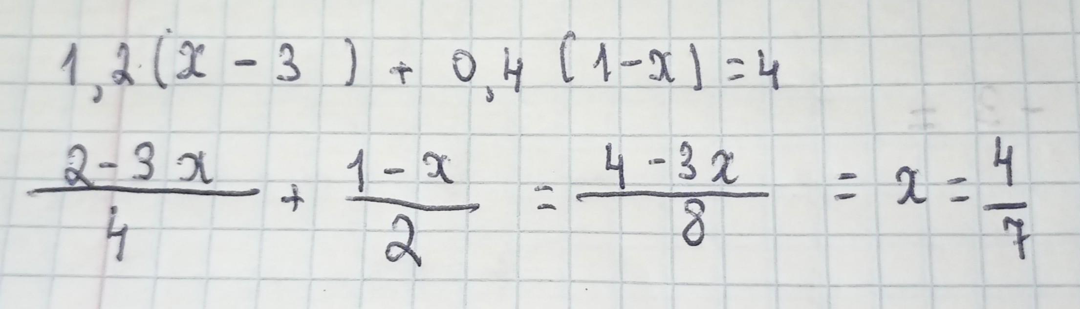
Решение задания на фотографии. Если будет нужное подробнее то обратитесь ко мне в личные сообщения.

Приложения:
Вас заинтересует