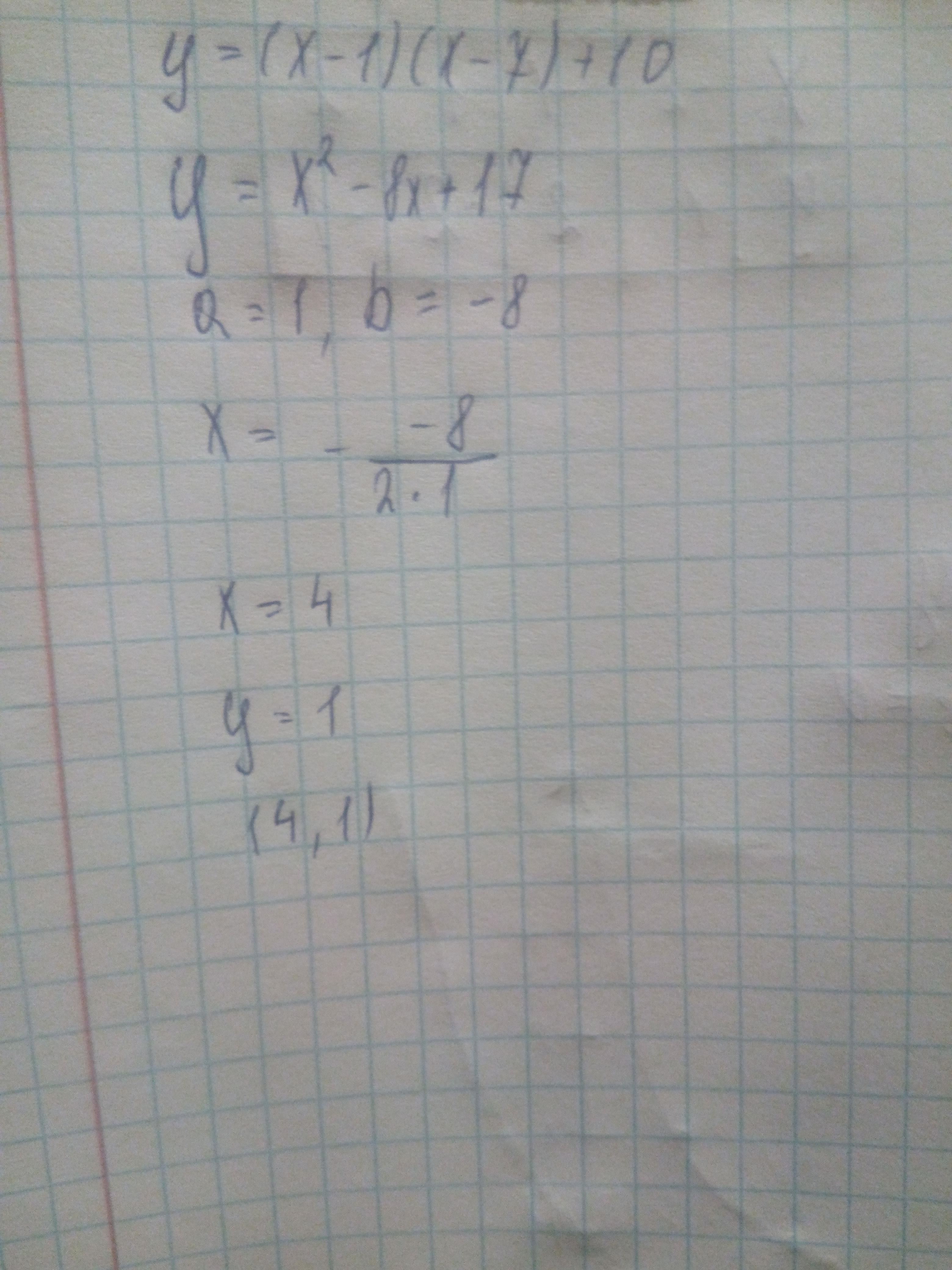
Квадратичная функция вида y = ax² + bx + c, a ≠ 0 и ее график и свойства. Урок 1 Найди множество значений функции y = (x – 1)(x – 7) + 10. Ответ: .
Ответы
Ответ дал:
7
Ответ: на фото
Объяснение
Приложения:

dauzovharli009:
там это ещё вопросы есть, я их выкладывать буду в последнем скажу если последний
4) 3
5) (3;0) (3;7) (3;-3)
6) у=2х"2"+8х-5 (-2;-13)
у=2х"2"+8х+5 (-2;-3)
у=2х"2"-8х-5 (2;-13)
у=-2х"2"-8х+5 (-2;13)
у=-2х"2"-8х-5 (-2;3)
у=-2х"2"+8х-5 (2;3)
7)1)R
2)(4;4)
3)a = -1
4)(-беск. ; 4]
5)[4; +беск.)
6)4
7)2 и 6
8)y=x²-6x+5
9)30, 120, 90
Вас заинтересует
2 года назад
2 года назад
2 года назад
2 года назад
8 лет назад
8 лет назад
9 лет назад
9 лет назад