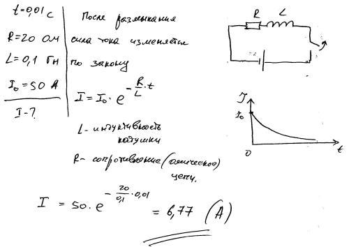
В цепи сопротивлением 20 Ом и индуктивностью 0,01 Гн шел ток силой 50 А. Определить силу тока в цепи через 0,01 с после отключения ее от источника тока.
Ответы
Ответ дал:
0
Ответ:
6.77 А
Объяснение:
Приложения:
Вас заинтересует
2 года назад
2 года назад
3 года назад
9 лет назад
9 лет назад
10 лет назад
10 лет назад