• Предмет: Математика
  • Автор: macaron790
  • Вопрос задан 7 лет назад

Помогите пжжжжжжжжжжжжжжжжжжжжжжжжжжжжжжж

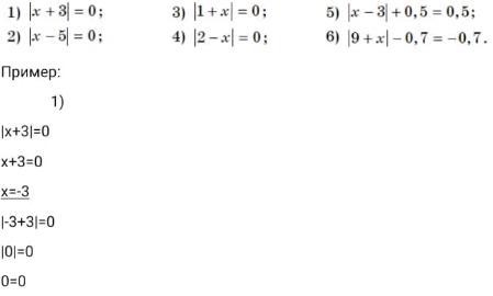
Приложения:

Ответы

Ответ дал: sofiyavictoria
0

Ответ:

Пошаговое объяснение:

Т. к. |0|=0, то

1).  х+3=0  ⇒  х= -3

2). x-5=0   ⇒  х=5

3). 1+х=0   ⇒  х= -1

4). 2-х=0   ⇒  х=2

5). |x-3|+0,5=0,5.    |x-3|=0,5-0,5.  |x-3|=0  ⇒ x-3=0,  x=3

6). |9+x|-0,7= -0,7.  |9+x|= -0,7+0,7. |9+x|=0. ⇒ 9+x=0,   x= -9.

Вас заинтересует