• Предмет: Алгебра
  • Автор: yur4ik15ap490u1
  • Вопрос задан 7 лет назад

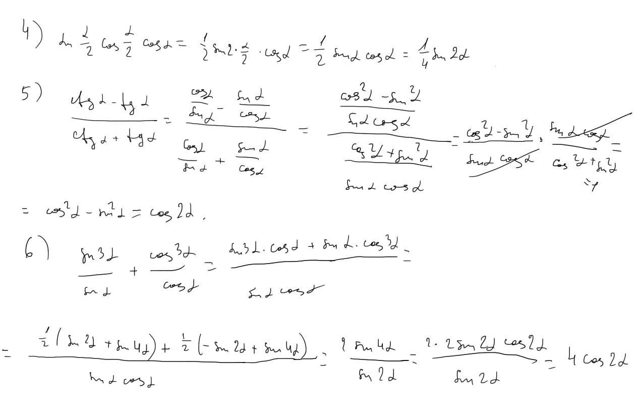
Нужно упростить выражения​

Приложения:

Ответы

Ответ дал: Warlock1
0

Ответ:

как-то так

Объяснение:

Приложения:
Вас заинтересует