• Предмет: Алгебра
  • Автор: dashikkkOO
  • Вопрос задан 7 лет назад

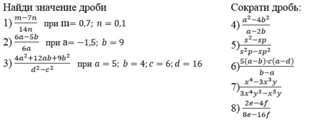
найдите значение дроби, сократите дробь​

Приложения:

Ответы

Ответ дал: ВеттаВетта
1

Ответ:

Решение на фото

Объяснение:

Приложения:
Вас заинтересует