Ответы
Ответ дал:
1
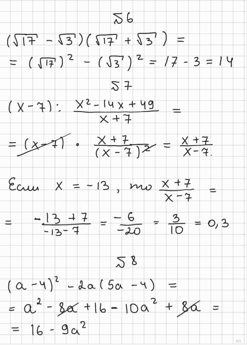
№6. 14
№7. 0,3
№8. 15
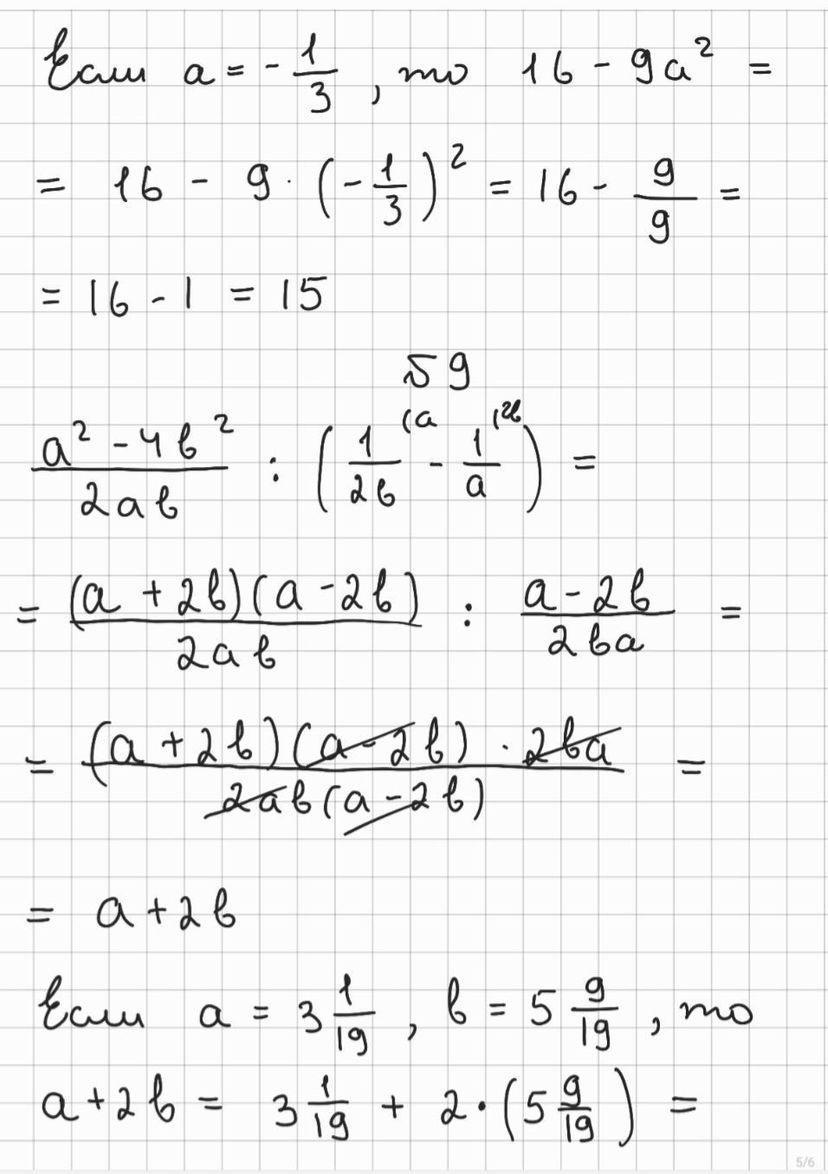
№9. 14
№10. 7
Приложения:



Вас заинтересует
2 года назад
2 года назад
2 года назад
8 лет назад
9 лет назад