• Предмет: Алгебра
  • Автор: gnomelis1
  • Вопрос задан 7 лет назад

Дам 40 баллов
Помогите пожалуйста
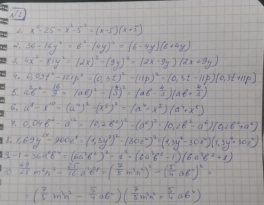
Образец и задание ⬇️

Приложения:

lolkekcjebyre123: 1 или 2 делать?
lolkekcjebyre123: или все вместе?
gnomelis1: Фото где много цифр это задание, а второе фото это образец как делать
lolkekcjebyre123: я не про это
lolkekcjebyre123: на 1 фото 2 задания
lolkekcjebyre123: их всех надо делать?
gnomelis1: Да

Ответы

Ответ дал: cor1eone
0

Доброго времени суток.

Решение во вложении.

Приложения:
Ответ дал: ALEMENT
0

Ответ:

Вообще-то ты даёшь 20 баллов.

№2 Решите уравнение

x²- 49 = 0

x² - 7² = 0

(x - 7)(x + 7) = 0

x = 7 x = -7 (Это ответ)

25y² - 4 = 0

(5y)² - 2² = 0

(5y - 2)(5y + 2) = 0

5y - 2 = 0

5y = 2

y = 2÷5

y = 0,4

или

5y + 2 = 0

5y = -2

y = -2÷5

y = -0,4

16x²+25 = 0

(4x)²+ 5² = 0

(4x + 5)(4x - 5) = 0

4x + 5 = 0

4x = -5

x = -5÷4

x = -1,25

или

4x - 5 = 0

4x = 5

x = 5/4

x = 1,25

(3x-5)² - 16 = 0

9x + 25 - 16 = 0

9x + 9 = 0

(3x)² + 3² = 0

(3x + 3)(3x - 3) = 0

3x + 3 = 0

3x = - 3

x = -3÷3

x = -1

или

3x - 3 = 0

3x = 3

x = 3÷3

x = 1

Объяснение:

Ответы

1) -7 или 7

2) -0,4 или 0,4

3) -1,25 или 1,25

4) -1 или 1

Вас заинтересует