• Предмет: Математика
  • Автор: cokovovaa
  • Вопрос задан 7 лет назад

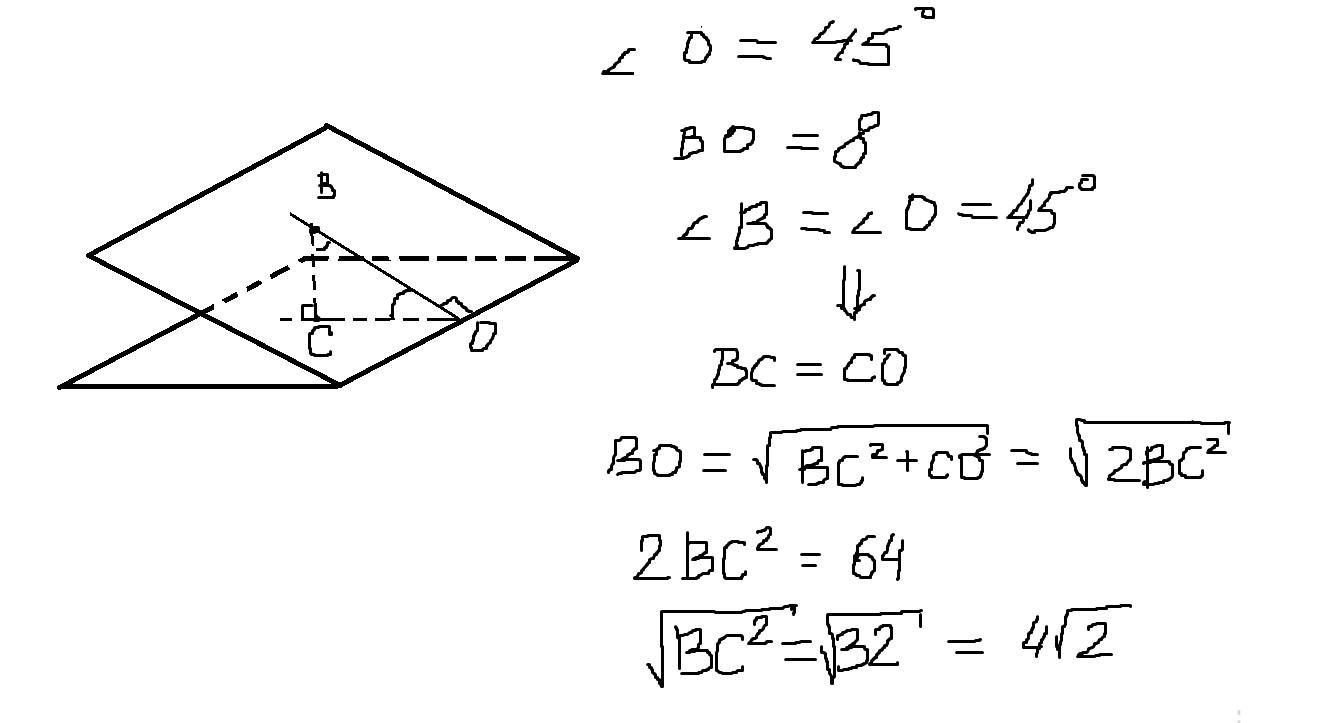
двугранный угол равен 45 градусов на одной грани двугранного угла дана точка в расстояние от которой до ребра равно 8 см чему равно расстояние от точки в до второй грани лвугранного угла?

Ответы

Ответ дал: lenaandreevala
3

Всё сводится к обычному прямоугольному треугольнику.

Приложения:
Вас заинтересует