Помогите решить алгебру, даю 55 баллов. Там где написано «3 вариант» это задание, там где написано «образец» это образец
Приложения:


Ответы
Ответ дал:
1
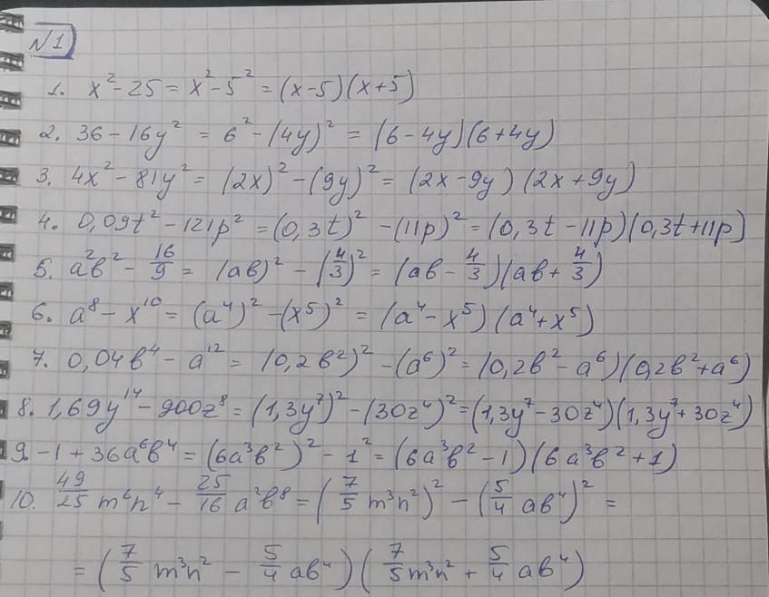
Доброго времени суток.
Решение во вложении.
Приложения:


Вас заинтересует
2 года назад
2 года назад
2 года назад
8 лет назад
9 лет назад