• Предмет: Математика
  • Автор: jopa6199
  • Вопрос задан 7 лет назад

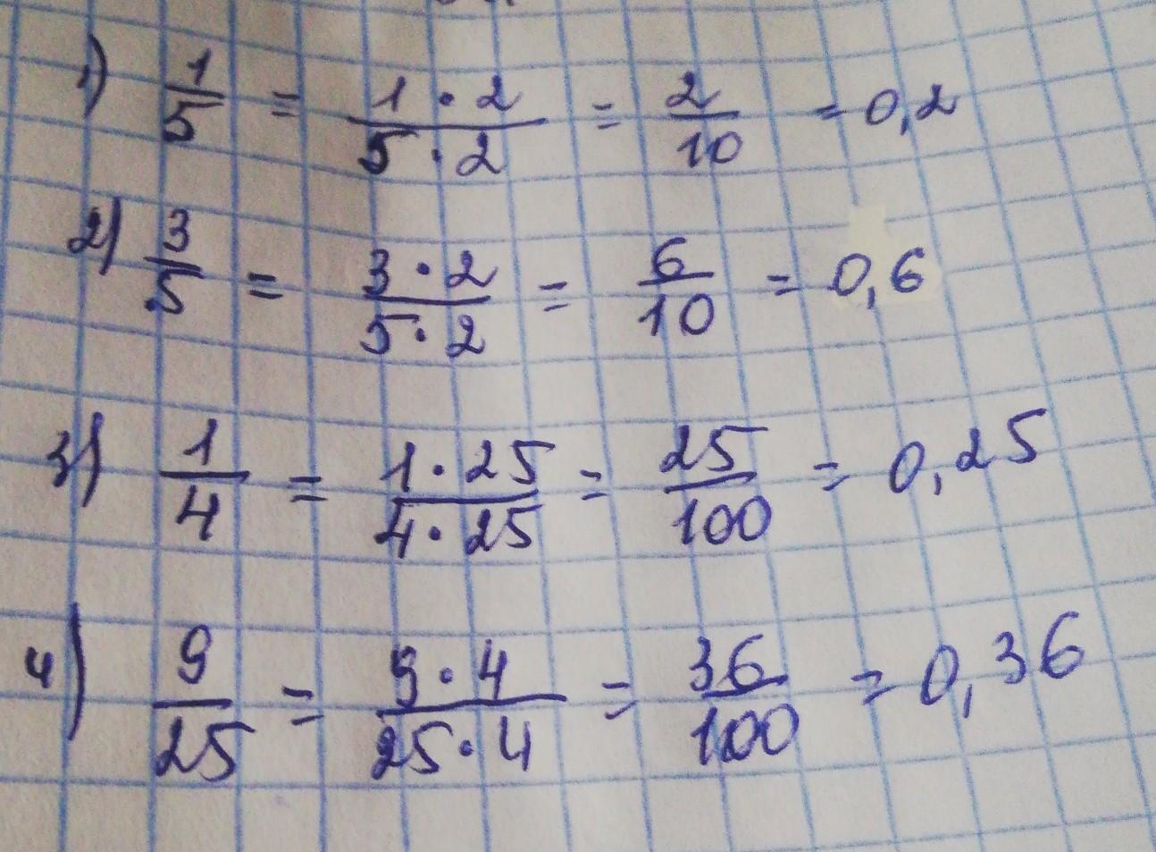
Приведи знаменатель дроби к числу 10 и запиши дробь в виде десятичной дроби
1/5 3/5
Приведи знаменатель дроби к числу 100 и запиши дробь в виде десятичной дроби
1/4 9/25
Помогите плссс

Ответы

Ответ дал: larisaserova53
17

Ответ:

Смотри решение на фото..

Приложения:

jopa6199: Спасибо!
jopa6199: Проверено в онлайн мектеп
Все верно!
airin62: спасибо!
gulfarida78: Такой красивый почерк
Ответ дал: psarsembaeva
4

Ответ:

1) 1/5=1×2/5×2= 2/10=0.2

2) 3/5=3×2/5×2=6/10=0.6

3) 1/4=1×25/4×25=25/100=0.25

4) 9/25=9×4/25×4=36/100=0.36


jopa6199: Спасибо!
jopa6199: Все верно
airin62: спасибо !
Вас заинтересует