• Предмет: Алгебра
  • Автор: sakerke71
  • Вопрос задан 7 лет назад

Сумма и разность кубов двух выражений. Урок 1
Используя формулы сокращенного умножения, вычисли:

Приложения:

alihanzhum07: у кого лимит ответ -896

Ответы

Ответ дал: toregalitorali2
14

Объяснение:

-896

цлцмыгырырвидудз

Приложения:
Ответ дал: SharkVinroX
2

Ответ: -896

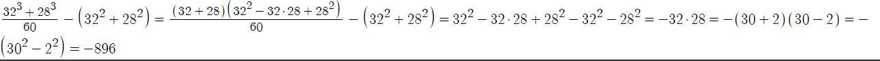
При решении данного выражения нам понадобится следующая формула:

a3 + b3 = (a + b)(a2 – ab + b2).

Решение:

Приложения:

MrDavava: спс
Вас заинтересует