• Предмет: Математика
  • Автор: Аноним
  • Вопрос задан 7 лет назад

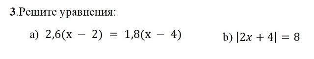
3.Решите уравнения: а) 2,6(х - 2) 1,8(x — 4) b) | 2х + 4 = 8​

Приложения:

Ответы

Ответ дал: olenka209079
11

a)2,6(x-2)=1,8(x-4)\\2,6x-5,2=1,8x-7,2\\2,6x-1,8x=-7,2+5,2\\0,8x=-2\\x=-2,5
b)|2x+4|=8\\2x+4=8\\x=2\\2x+4=-8\\x=-6\\x_1=-6;x_2=2


Аноним: Это правильно
ludashin0: я знаю что это правильно себя вызовы просто не справилась я тебе люблю
ludashin0: я знаю что это правильно себя вызовы просто не справилась я тебе люблю
Аноним: ээээ что
NARUTODJON: Oooo любовь
Аноним: чел ты меня видел я тебя не видела какова хуя ты мне пишешь что ты меня любишь ты охуел
timoxatitan2009: ну ни хрена
timoxatitan2009: ну ни хрена
timoxatitan2009: во умора
mak260709: хахвхахахахаха
Вас заинтересует