• Предмет: Алгебра
  • Автор: Foxi206
  • Вопрос задан 7 лет назад

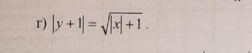
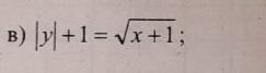
Помогите пожалуйста! Посторойте график уравнений

Приложения:

Ответы

Ответ дал: BrawllStarss
0

Ответ:

в) фиолетовое

г) зеленое

Объяснение:

Приложения:
Вас заинтересует