• Предмет: Математика
  • Автор: sae42720
  • Вопрос задан 7 лет назад

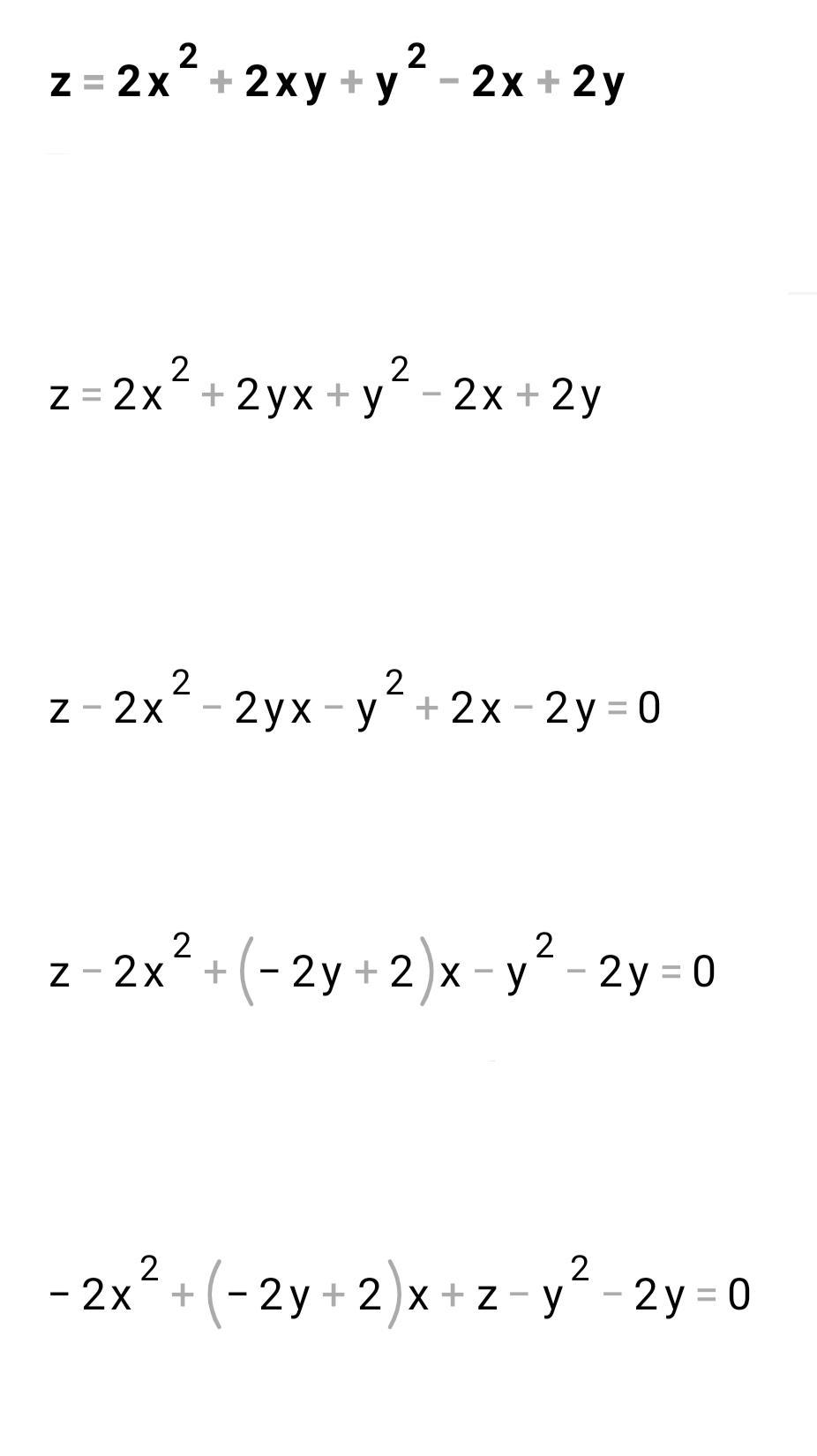
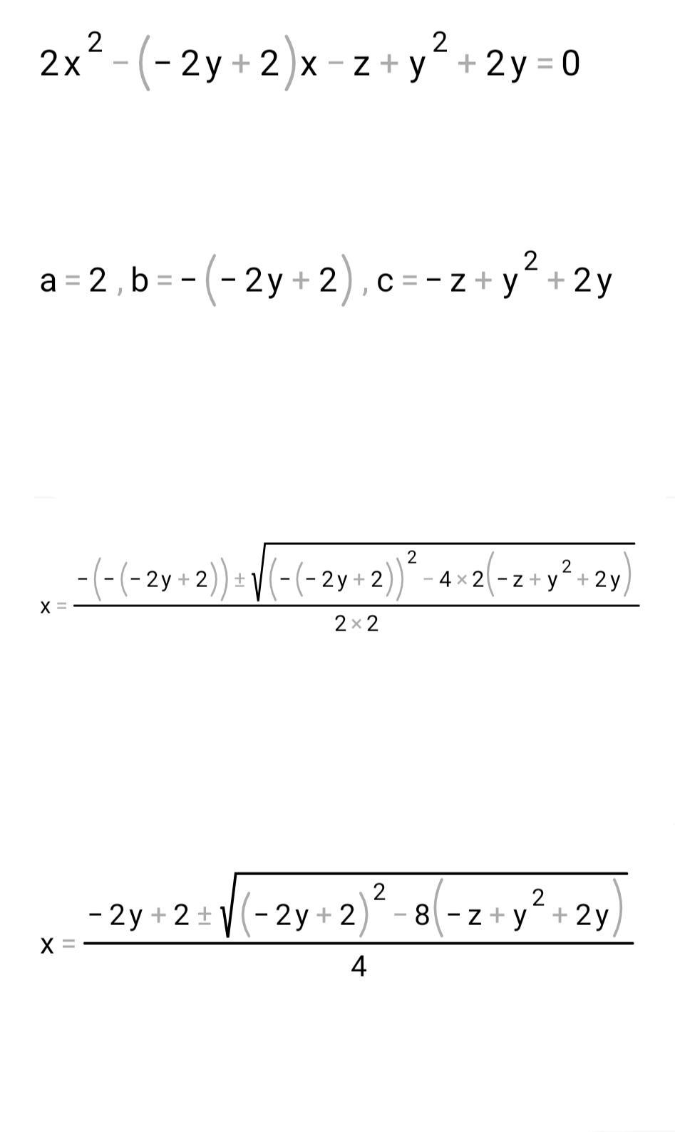
Найти экстремум функций

Приложения:

Ответы

Ответ дал: Bobuhlubov
0

Відповідь:

Покрокове пояснення:

Приложения:
Вас заинтересует