Бжб.Сор помогите пожалуйста.
Приложения:

kabylbekovaelenora:
Аныктамалы модуль танбасы 6 класс
Ответы
Ответ дал:
1
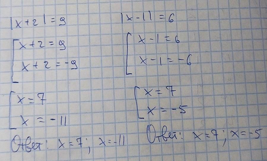
Ответ и решение на фото
.........
Приложения:

Ответ дал:
0
Ответ:
х=7 (7+2=9) х=7 (7-1=6)
Вас заинтересует
2 года назад
2 года назад
2 года назад
2 года назад
8 лет назад
8 лет назад
9 лет назад
9 лет назад