• Предмет: Геометрия
  • Автор: binomo48q7
  • Вопрос задан 7 лет назад

решите ппожалуйстооовисеочпогашарннм

Приложения:

Ответы

Ответ дал: alttata
0

Ответ:

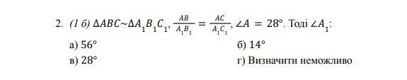
так же 28° ответ в) .........

Вас заинтересует