• Предмет: Алгебра
  • Автор: vvvghostvvv
  • Вопрос задан 7 лет назад

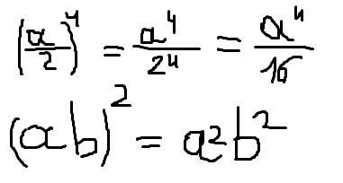
ПЖЛСТ БЫСТРО дам 21 балл .Выполните действие, воспользовавшись соответствующим свойством степени:​

Приложения:

Ответы

Ответ дал: shieworm111
1

Ответ в файле. Нужно умножить каждый множитель на степень.

Приложения:

vvvghostvvv: можешь помочь с еще одним заданием?
shieworm111: да. с каким?
vvvghostvvv: сейчас я вопрос на 20 баллов сделаю
Вас заинтересует