• Предмет: Алгебра
  • Автор: GavnoNegra
  • Вопрос задан 7 лет назад

Алгебра, Дискриминат
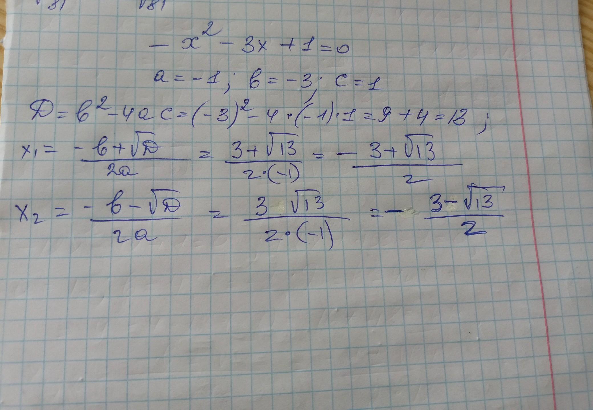
Сударь если ты это читаешь, то прошу помочь с решением данного квадратного уравнения​

Приложения:

Ответы

Ответ дал: shieworm111
0

= -3+корень из 13/2

= -3-корень из 13/2*(-1) = корень из 13-3/2

Ответ дал: OblivionFire
2

Ответ:

смотри фото////////////////////////////

Приложения:
Вас заинтересует