• Предмет: Алгебра
  • Автор: vvvghostvvv
  • Вопрос задан 7 лет назад

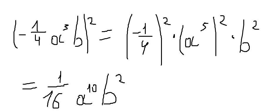
помогите решить пожалуйста​

Приложения:

Ответы

Ответ дал: slavaboriskov
0

Ответ:смотри в файле там скриншоты

Объяснение:

Приложения:
Ответ дал: shieworm111
1

Все ответы прикреплены в файле.

Приложения:
Вас заинтересует