• Предмет: Алгебра
  • Автор: Dany544
  • Вопрос задан 7 лет назад

СРОЧНО
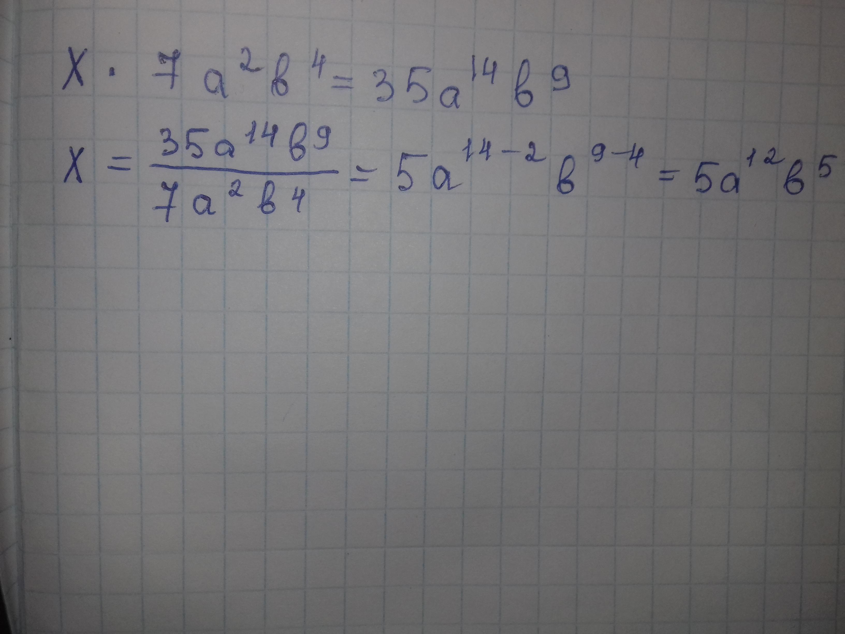
Найдите одночлен под *| "^" это степень
* умножить на 7a^2b^4=35a^14b^9

Ответы

Ответ дал: sadykovanatalya2004
1

Ответ:

Смотри фото ниже.

Объяснение:

Приложения:
Вас заинтересует