• Предмет: Алгебра
  • Автор: nursseiten
  • Вопрос задан 7 лет назад

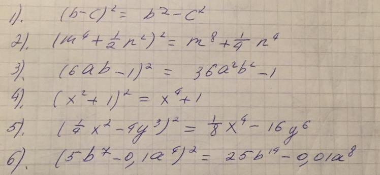
представьте в виде квадрата или квадрата разности ​

Приложения:

Ответы

Ответ дал: gangOrBang
0

1) (b-c)²

2) (m⁴+1/2n²)²

3) (6ab-1)²

4) (x²+1)²

5) (1/4x²-4y³)²

6) (5b⁷-0,1a⁴)²

Ответ дал: Onezomig2kuzyonok
0
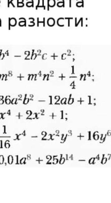
Вот, лови ответы от Кузёнка
Приложения:
Вас заинтересует