Ответы
Ответ дал:
1
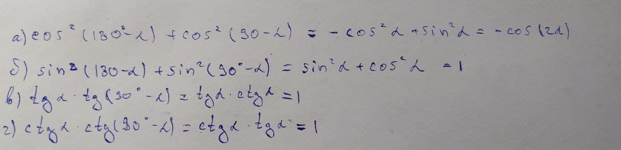
Ответ находится на фото
Приложения:

marshal500:
ни одно из выражений не закончено до конца!!! ответ не полный...
Вас заинтересует
2 года назад
2 года назад
2 года назад
2 года назад
8 лет назад
8 лет назад
9 лет назад
9 лет назад