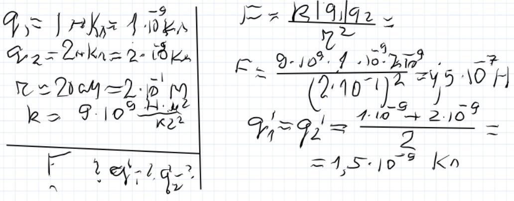
Два точкові заряди що дорівнюють +1нКлта +2 нКл містяться на відстані 20 см одне від одного визначте а) силу взаємодії цих зарядів б)величину кожного заряду після дотику
Ответы
Ответ дал:
1
Ответ: 0,45 мкН; заряды равны, величина каждого 1,5 нКл
Объяснение:
Приложения:

Вас заинтересует
2 года назад
2 года назад
2 года назад
8 лет назад
8 лет назад