• Предмет: Математика
  • Автор: СашаКороль55
  • Вопрос задан 7 лет назад

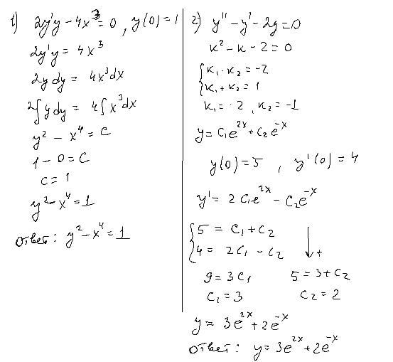
помогите пожалуйста решить, очень срочно надо

Приложения:

Ответы

Ответ дал: dashulka22222
0

Ответ:

Пошаговое объяснение:

Приложения:
Вас заинтересует