• Предмет: Математика
  • Автор: fentezifashion
  • Вопрос задан 7 лет назад

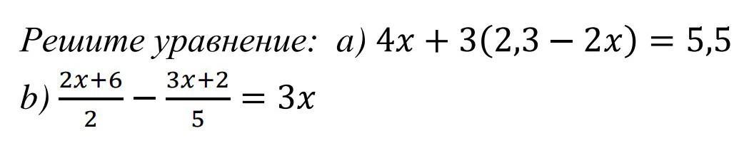
помогите пожалуйста по фото ​

Приложения:

Ответы

Ответ дал: ilonkaaa24
0
Вот держи а и б
Только в уравнении б открой дужки
Приложения:
Ответ дал: kesemtilekova
0

4x+3(2,3-2x)=5,5

4x+6,9-6x=5,5

-2=5,5-6,9

-2x=-1,4

x=0,7

Вас заинтересует