• Предмет: Математика
  • Автор: alikalukina66682
  • Вопрос задан 7 лет назад

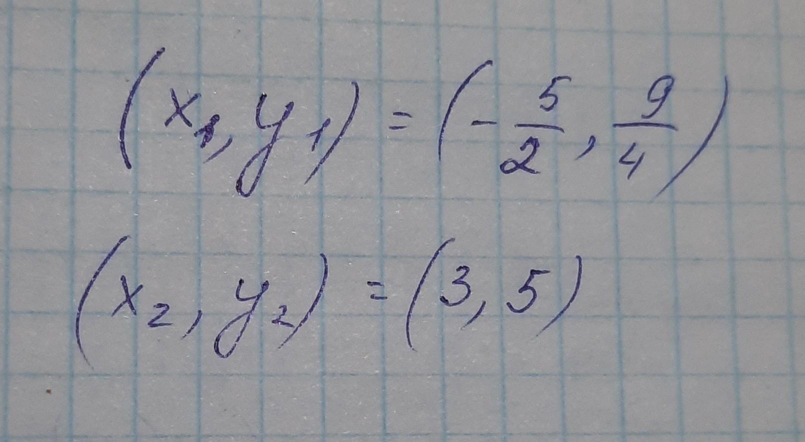
ПОМОГИТЕ УМОЛЯЮ ПРОГУ ВАС

Приложения:

Ответы

Ответ дал: vzthv
0

Ответ:

Ответ: (-11; -4) Рада за помощь

Ответ дал: aliyevayasmina17
0

_____________________________________________

Приложения:
Вас заинтересует